关键词搜索:
PM2.5标准品,SRM1648a城市颗粒物,05/112低分子量肝素,细菌内毒素USP标准品
CRM-PTX2 蛤毒素-2校准溶液的稳定性
CRM-PTX2(批号20021127)在甲醇中的短期和长期稳定性先前采用经典稳定性研究设计进行评估。以相同的方式制备CRM-PTX2-b,并且合理地假设了等效的稳定性。在30天的时间内,在+20°C以下的温度下,未观察到PTX2降解,表明短期内具有良好的稳定性。然而,在+37℃下30天后,PTX2的降解变得显著。针对每个储存温度计算1年长期稳定性数据的回归,并测试其显著性。在+4°C以下的所有条件下,回归均不显著。使用-12 C斜率的标准误差确定与长期稳定性评估相关的不确定性(见不确定性部分)。长期稳定性(uns)导致的相对不确定度为0.77%。CRM-PTX2-b的建议存储温度为-12℃。
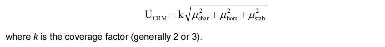
CRM-PTX2 蛤毒素-2校准溶液的不确定性
CRM-PTX2-b的总体不确定度估计值(Ucew)包括与批次表征(uchar)、瓶间变化(Jhom)和长期贮存稳定性(Jsta)相关的不确定度[6J。这些成分可根据以下内容进行组合和扩展:

考虑并量化了与CRM-PTX2-b表征相关的所有合理误差源。通过qNMR和LC-MS对CRM-PTX2-b进行定量分析,得到0.065μ。对CRM-PTX2谱带进行了广泛的同质性研究,未检测到明显的异质性。当用umolL表示时,长期稳定性(Jstab)的不确定度被确定为0.039μ。将所有这些不确定源与覆盖因子2相结合,以估算与CRM-PTX2-b认证值相关的最终不确定度,如表2所示。

东莞市百顺生物科技有限公司专业提供CRM-PTX2 蛤毒素-2校准溶液,欢迎咨询定购!